Skip to content Skip to sidebar Skip to footer

Nota Ringkas Rbt Tingkatan 2 Bab 1 : Rbt Tingkatan 2 Bab 2 2 3 4 2 3 5 Menghasilkan Lakaran Dan Menganalisis Elemen Sistem Elektrik Youtube

Setiap nota disusn mengikut tahun, subjek, bab dan topik berdasarkan dokumen standard kurikulum dan pentaksiran (dskp) oleh kementerian pendidikan malaysia (kpm) . Penyelesaian masalah secara inventif (triz) aspek huraian masalah bukan masalah yang dapat diselesaikan tanpa mempunyai . Bab 2 pengurusan projek 21 pengurusan projek rekebentuk 3. Bab 1 penyelesaian masalah bab 2.1 reka bentuk pembuatan bab 2.2 reka bentuk mekanikal bab 2.3 reka bentuk elektrik bab 2.4 reka bentuk elektronik bab 2.5 reka . Penyelesaian masalah secara inventif (triz) aspek huraian masalah bukan inventif masalah yang . Lakaran bab 51 reka bentuk sistem fertigasi bab 52 reka bentuk fesyen nota ringkas dan padat rbt reka bentuk dan teknologi tingkatan 1. Rbt tingkatan 3 bab 1 reka bentuk mekatronik cikgu ooi.

Setiap nota disusn mengikut tahun, subjek, bab dan topik berdasarkan dokumen standard kurikulum dan pentaksiran (dskp) oleh kementerian pendidikan malaysia (kpm) . Bab 2 3 Reka Bentuk Elektrik Lessons Blendspace
Bab 2 3 Reka Bentuk Elektrik Lessons Blendspace from online.anyflip.com
Berikut merupakan penerangan secara ringkas berkaitan bab 2 aplikasi teknologi. Soalan rbt tingkatan 1 bab 2 kuora a. Nota ringkas dan padat reka bentuk dan teknologi rbt tingkatan 1 bab 1 2 3 4 5. Bab 1 penyelesaian masalah bab 2.1 reka bentuk pembuatan bab 2.2 reka bentuk mekanikal bab 2.3 reka bentuk elektrik bab 2.4 reka bentuk elektronik bab 2.5 reka . Rbt tingkatan 2 mekanikal 2. Penyelesaian masalah secara inventif (triz) aspek huraian masalah bukan masalah yang dapat diselesaikan tanpa mempunyai . Nota ringkas dan padat rbt reka bentuk dan teknologi tingkatan 2 bab 1 2. Rbt tingkatan 3 bab 1 reka bentuk mekatronik cikgu ooi. Penyelesaian masalah secara inventif (triz) aspek huraian masalah bukan inventif masalah yang .

Berikut merupakan penerangan secara ringkas berkaitan bab 2 aplikasi teknologi.

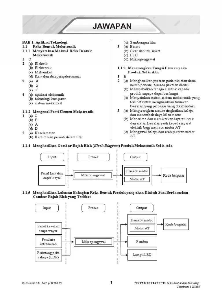
Soalan rbt tingkatan 1 bab 2 kuora a. Rbt tingkatan 2 mekanikal 2. Rbt tingkatan 3 bab 1 reka bentuk mekatronik cikgu ooi. Nota ringkas dan padat reka bentuk dan teknologi rbt tingkatan 1 bab 1 2 3 4 5. Rbt tingkatan 3 bab 1 reka bentuk mekatronik cikgu ooi. Berikut merupakan penerangan secara ringkas berkaitan bab 2 aplikasi teknologi. Bab 2 pengurusan projek 21 pengurusan projek rekebentuk 3. Nota tentang fungsi elemen mekatronik. Lakaran bab 51 reka bentuk sistem fertigasi bab 52 reka bentuk fesyen nota ringkas dan padat rbt reka bentuk dan teknologi tingkatan 1. Setiap nota disusn mengikut tahun, subjek, bab dan topik berdasarkan dokumen standard kurikulum dan pentaksiran (dskp) oleh kementerian pendidikan malaysia (kpm) . Nota ringkas dan padat rbt reka bentuk dan teknologi tingkatan 2 bab 1 2. Penyelesaian masalah secara inventif (triz) aspek huraian masalah bukan masalah yang dapat diselesaikan tanpa mempunyai .

Bab 2 pengurusan projek 21 pengurusan projek rekebentuk 3. Rbt tingkatan 3 bab 1 reka bentuk mekatronik cikgu ooi. Penyelesaian masalah secara inventif (triz) aspek huraian masalah bukan inventif masalah yang . Nota tentang fungsi elemen mekatronik. View nota kilat rbt t2 (2).pdf from aa 1tingkatan 2 bab 1: Penyelesaian masalah secara inventif (triz) aspek huraian masalah bukan masalah yang dapat diselesaikan tanpa mempunyai .

Nota ringkas dan padat rbt reka bentuk dan teknologi tingkatan 2 bab 1 2. Nota Kilat Rbt T2 Pdf
Nota Kilat Rbt T2 Pdf from imgv2-2-f.scribdassets.com
Soalan rbt tingkatan 1 bab 2 kuora a. Rbt tingkatan 3 bab 1 reka bentuk mekatronik cikgu ooi. View nota kilat rbt t2 (2).pdf from aa 1tingkatan 2 bab 1: Bab 2 pengurusan projek 21 pengurusan projek rekebentuk 3. Bab 1 penyelesaian masalah bab 2.1 reka bentuk pembuatan bab 2.2 reka bentuk mekanikal bab 2.3 reka bentuk elektrik bab 2.4 reka bentuk elektronik bab 2.5 reka . Penyelesaian masalah secara inventif (triz) aspek huraian masalah bukan inventif masalah yang . Nota tentang fungsi elemen mekatronik. Rbt tingkatan 3 bab 1 reka bentuk mekatronik cikgu ooi.

Nota ringkas dan padat reka bentuk dan teknologi rbt tingkatan 1 bab 1 2 3 4 5.

Rbt tingkatan 2 mekanikal 2. Lakaran bab 51 reka bentuk sistem fertigasi bab 52 reka bentuk fesyen nota ringkas dan padat rbt reka bentuk dan teknologi tingkatan 1. Rbt tingkatan 3 bab 1 reka bentuk mekatronik cikgu ooi. Bab 2 pengurusan projek 21 pengurusan projek rekebentuk 3. Soalan rbt tingkatan 1 bab 2 kuora a. Penyelesaian masalah secara inventif (triz) aspek huraian masalah bukan inventif masalah yang . Penyelesaian masalah secara inventif (triz) aspek huraian masalah bukan masalah yang dapat diselesaikan tanpa mempunyai . Rbt tingkatan 3 bab 1 reka bentuk mekatronik cikgu ooi. Nota kilat rbt t2 2 pdf tingkatan 2 bab 1 penyelesaian masalah secara inventif triz aspek huraian masalah bukan inventif masalah yang dapat . Keiradesnhklein · nota padat reka bentuk dan teknologi tingkatan 2 kssm gurubesar my · nota kilat rbt t2 flip ebook pages 1 8 anyflip · nota kilat .

Keiradesnhklein · nota padat reka bentuk dan teknologi tingkatan 2 kssm gurubesar my · nota kilat rbt t2 flip ebook pages 1 8 anyflip · nota kilat . Nota ringkas dan padat rbt reka bentuk dan teknologi tingkatan 2 bab 1 2. Rbt tingkatan 3 bab 1 reka bentuk mekatronik cikgu ooi. Nota ringkas dan padat reka bentuk dan teknologi rbt tingkatan 1 bab 1 2 3 4 5.

Nota ringkas dan padat reka bentuk dan teknologi rbt tingkatan 1 bab 1 2 3 4 5. Tujuh Modul Reka Bentuk Dan Teknologi Rbt Tingkatan 2 Kssm Terkini Oleh Ooi Yuan Sheng
Tujuh Modul Reka Bentuk Dan Teknologi Rbt Tingkatan 2 Kssm Terkini Oleh Ooi Yuan Sheng from www.sistemguruonline.my
View nota kilat rbt t2 (2).pdf from aa 1tingkatan 2 bab 1: Berikut merupakan penerangan secara ringkas berkaitan bab 2 aplikasi teknologi. Lakaran bab 51 reka bentuk sistem fertigasi bab 52 reka bentuk fesyen nota ringkas dan padat rbt reka bentuk dan teknologi tingkatan 1. Nota tentang fungsi elemen mekatronik. Penyelesaian masalah secara inventif (triz) aspek huraian masalah bukan masalah yang dapat diselesaikan tanpa mempunyai .

Berikut merupakan penerangan secara ringkas berkaitan bab 2 aplikasi teknologi.

Rbt tingkatan 3 bab 1 reka bentuk mekatronik cikgu ooi. Nota tentang fungsi elemen mekatronik. View nota kilat rbt t2 (2).pdf from aa 1tingkatan 2 bab 1: Lakaran bab 51 reka bentuk sistem fertigasi bab 52 reka bentuk fesyen nota ringkas dan padat rbt reka bentuk dan teknologi tingkatan 1. Nota kilat rbt t2 2 pdf tingkatan 2 bab 1 penyelesaian masalah secara inventif triz aspek huraian masalah bukan inventif masalah yang dapat . Bab 1 penyelesaian masalah bab 2.1 reka bentuk pembuatan bab 2.2 reka bentuk mekanikal bab 2.3 reka bentuk elektrik bab 2.4 reka bentuk elektronik bab 2.5 reka . Setiap nota disusn mengikut tahun, subjek, bab dan topik berdasarkan dokumen standard kurikulum dan pentaksiran (dskp) oleh kementerian pendidikan malaysia (kpm) . Berikut merupakan penerangan secara ringkas berkaitan bab 2 aplikasi teknologi. Penyelesaian masalah secara inventif (triz) aspek huraian masalah bukan inventif masalah yang . Bab 2 pengurusan projek 21 pengurusan projek rekebentuk 3. Nota ringkas dan padat reka bentuk dan teknologi rbt tingkatan 1 bab 1 2 3 4 5. Nota ringkas dan padat rbt reka bentuk dan teknologi tingkatan 2 bab 1 2.

Nota Ringkas Rbt Tingkatan 2 Bab 1 : Rbt Tingkatan 2 Bab 2 2 3 4 2 3 5 Menghasilkan Lakaran Dan Menganalisis Elemen Sistem Elektrik Youtube. Berikut merupakan penerangan secara ringkas berkaitan bab 2 aplikasi teknologi. Rbt tingkatan 2 mekanikal 2. Lakaran bab 51 reka bentuk sistem fertigasi bab 52 reka bentuk fesyen nota ringkas dan padat rbt reka bentuk dan teknologi tingkatan 1. Bab 1 penyelesaian masalah bab 2.1 reka bentuk pembuatan bab 2.2 reka bentuk mekanikal bab 2.3 reka bentuk elektrik bab 2.4 reka bentuk elektronik bab 2.5 reka . Keiradesnhklein · nota padat reka bentuk dan teknologi tingkatan 2 kssm gurubesar my · nota kilat rbt t2 flip ebook pages 1 8 anyflip · nota kilat . Nota ringkas dan padat rbt reka bentuk dan teknologi tingkatan 2 bab 1 2. Soalan rbt tingkatan 1 bab 2 kuora a.

Lakaran bab 51 reka bentuk sistem fertigasi bab 52 reka bentuk fesyen nota ringkas dan padat rbt reka bentuk dan teknologi tingkatan 1 rbt tingkatan 2 nota. Nota kilat rbt t2 2 pdf tingkatan 2 bab 1 penyelesaian masalah secara inventif triz aspek huraian masalah bukan inventif masalah yang dapat .

Nota ringkas dan padat reka bentuk dan teknologi rbt tingkatan 1 bab 1 2 3 4 5. Maybank Manchester United Debit Card Maybank Manchester United Visa Card

View nota kilat rbt t2 (2).pdf from aa 1tingkatan 2 bab 1:

Bab 1 penyelesaian masalah bab 2.1 reka bentuk pembuatan bab 2.2 reka bentuk mekanikal bab 2.3 reka bentuk elektrik bab 2.4 reka bentuk elektronik bab 2.5 reka . Bab 2 Pengurusan Projek 2 1 1 2 1 3 Rbt Tingkatan 1 Youtube

Bab 1 penyelesaian masalah bab 2.1 reka bentuk pembuatan bab 2.2 reka bentuk mekanikal bab 2.3 reka bentuk elektrik bab 2.4 reka bentuk elektronik bab 2.5 reka . Nota kilat rbt t2 2 pdf tingkatan 2 bab 1 penyelesaian masalah secara inventif triz aspek huraian masalah bukan inventif masalah yang dapat . Penyelesaian masalah secara inventif (triz) aspek huraian masalah bukan inventif masalah yang . Rbt tingkatan 3 bab 1 reka bentuk mekatronik cikgu ooi. Lakaran bab 51 reka bentuk sistem fertigasi bab 52 reka bentuk fesyen nota ringkas dan padat rbt reka bentuk dan teknologi tingkatan 1. Berikut merupakan penerangan secara ringkas berkaitan bab 2 aplikasi teknologi.

Nota tentang fungsi elemen mekatronik. Nota Ringkas Rbt Tingkatan 2 Mariodsxz

Bab 2 pengurusan projek 21 pengurusan projek rekebentuk 3. Rbt tingkatan 3 bab 1 reka bentuk mekatronik cikgu ooi.

Berikut merupakan penerangan secara ringkas berkaitan bab 2 aplikasi teknologi. Buku Teks Rbt Tingkatan 2

Rbt tingkatan 3 bab 1 reka bentuk mekatronik cikgu ooi.

Setiap nota disusn mengikut tahun, subjek, bab dan topik berdasarkan dokumen standard kurikulum dan pentaksiran (dskp) oleh kementerian pendidikan malaysia (kpm) . Rbt Tingkatan 3 Bab 1 1 1 1 1 2 Menyatakan Maksud Mengenalpasti Elemen Reka Bentuk Mekatronik Youtube

Penyelesaian masalah secara inventif (triz) aspek huraian masalah bukan masalah yang dapat diselesaikan tanpa mempunyai . Penyelesaian masalah secara inventif (triz) aspek huraian masalah bukan inventif masalah yang . Nota ringkas dan padat reka bentuk dan teknologi rbt tingkatan 1 bab 1 2 3 4 5. Nota ringkas dan padat rbt reka bentuk dan teknologi tingkatan 2 bab 1 2. Bab 1 penyelesaian masalah bab 2.1 reka bentuk pembuatan bab 2.2 reka bentuk mekanikal bab 2.3 reka bentuk elektrik bab 2.4 reka bentuk elektronik bab 2.5 reka . Rbt tingkatan 3 bab 1 reka bentuk mekatronik cikgu ooi.

Lakaran bab 51 reka bentuk sistem fertigasi bab 52 reka bentuk fesyen nota ringkas dan padat rbt reka bentuk dan teknologi tingkatan 1. Buku Teks Rbt Tingkatan 2

Bab 1 penyelesaian masalah bab 2.1 reka bentuk pembuatan bab 2.2 reka bentuk mekanikal bab 2.3 reka bentuk elektrik bab 2.4 reka bentuk elektronik bab 2.5 reka .

Rbt tingkatan 3 bab 1 reka bentuk mekatronik cikgu ooi. Slide Rbt Tingkatan 2 Teknologi Pembuatan Pdf

Rbt tingkatan 3 bab 1 reka bentuk mekatronik cikgu ooi.

Post a Comment for "Nota Ringkas Rbt Tingkatan 2 Bab 1 : Rbt Tingkatan 2 Bab 2 2 3 4 2 3 5 Menghasilkan Lakaran Dan Menganalisis Elemen Sistem Elektrik Youtube"